AI助手
点击获取
回到顶部
抖音
小红书
微博
公众号
小程序
手机浏览
相对面教育同步相对面教育备考资料信息:2026年安徽公考备考:11-04每日一练:数量关系之其他杂题。更多关于安徽公务员考试备考,国家公务员考试备考,安徽事业单位备考,安徽公务员考试资料等相关资讯,请关注相对面教育的备考资料,以及安徽相对面教育(www.xduim.com)官网和考务咨询热线(0551-63644001),获取更多招考信息和备考资料。
数量关系之其他杂题
1、下图前两行分别表示三位数567和648,那么第三行图形表示的数是:
A、647
B、753
C、857
D、947
2、小华每分钟吹一次肥皂泡,每次恰好吹100个。肥皂泡吹出后,经过一分钟有一半破了,经过两分钟还有二十分之一没有破,经过两分半钟肥皂泡全破了。小华在第20次吹出100个新的肥皂泡的时候,没有破的肥皂泡有多少个?
A、100
B、150
C、155
D、165
3、将一张正方形纸对折成三角形,接着将三角形对折成小三角形,再将这个小三角形对折成更小的三角形。然后如右图所示,剪去三个等腰直角三角形。问将剩下的纸展开,可能是以下哪个图形?
A、如上图所示
B、如上图所示
C、如上图所示
D、如上图所示
4、小王把一个100位数字的各位数字相加得到和a,再把a的各位数字相加得到b,再把b的各位数字相加得到c=6,那么这个100位数字除以3的余数是多少?
A、0
B、1
C、2
D、3
5、某单位有78个人,站成一排,从左边向右数,小王是第50个,从右边向左数,小张是第48个,则小王和小张之间有多少个人?
A、16
B、17
C、18
D、20
【参考答案及解析】
1、 第一步,本题考查图形推理。
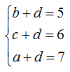
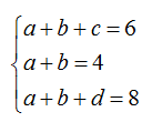
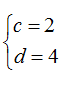
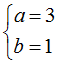
第二步,设四个区域的字母分别为a、b、c、d,如下图:
由第二行三位数为648列方程:
,解得
;
由第一行三位数为567列方程:
,将
代入得
。
第三步,观察第三行图一,b+c+d=7,观察选项仅B符合。
因此,选择B选项。
2、 第一步,本题考查其他杂题,用逆向思维法解题。
第二步,第20次吹出100个新肥皂泡时,第19分钟(前一分钟)吹的100个肥皂泡还有
(个)没破;同时,第18分钟(前两分钟)吹的100个肥皂泡还有
(个)没破。
第三步,故没有破的肥皂泡共有100+50+5=155(个)。
因此,选择C选项。
3、
第一步,本题考查图形推断,用排除法解题。
第二步,小三角形的两个45°角剪掉,在连接处剪掉,故有一个135°的角,那么剪裁后,每个边都有一个90°的直角,排除BC选项,再看中间的正方形,剪裁时,小三角形的直角,剪裁后是一个直角对着正方形的一条边,排除A选项,只有D选项满足。
因此,选择D选项。
4、 第一步,本题考查趣味杂题。
第二步,最终得到的数是6,是3的倍数,即b的各位数字和能被3整除,则b一定能被3整除;同理,b是3的倍数,即a的各位数字和能被3整除,则a一定能被3整除。
第三步,一个能被3整除的数除以3的余数一定是0。
因此,选择A选项。
5、 第一步,本题考查其他杂题。
第二步,已知从左向右,小王是第50个,说明他右边还有78-50=28(人),即从右向左数小王是第29个,而小张是第48个,故小王和小张之间有48-29-1=18(人)。
因此,选择C选项。
——相对面教育——
客服微信
推荐课程
最新招考
2026年国家公务员考试公告|职位表|考试时间信息汇总
2026年天津市公务员考试招1796人公告|职位表
2025年淮北市产业投资集团有限公司招13人公告
2025年合肥蜀山经济技术开发区社区工作者招15人公告
2026年水利部长江水利委员会事业单位招107人公告(第一批)
2025年合肥高新区城西桥养老服务中心管理人员招3人公告
2025年铜陵市综合交通投资集团有限公司招急需紧缺人才5人公告
2026年黄山休宁县消防救援大队政府专职消防员招6人公告
2026年浙江省公务员专业参考目录
2026年浙江省公安机关人民警察职位专业科目笔试考试大纲
推荐教师
刘洋
15年行测/面试培训师
哲学硕士
哲学硕士,讲逻辑谈申论教公专的言语老师
宋国栋
15年申论/面试培训师
硕士研究生
管理学硕士,体制验证的申论王者
唐广磊
15年申论/面试培训师
硕士
语言学硕士,蕞儒雅的申论欧巴
方博
15年行测/面试培训师
硕士研究生
科大本硕,蕞野数资王者
覃天宁
10年行测/面试培训师
硕士研究生
科大管理学硕士 古希腊研究判断的主任
热门备考
考公人眼中的大阅兵!
2025年安徽省考面试珍题汇总
2024年安徽省各地市事业单位面试试题汇总
2026年公务员考试备考资料:政治理论每日一练(11-04)
2026年安徽公考备考:11-04每日一练:数量关系之溶液混合
2026年安徽公考备考:11-04每日一练:言语理解与表达之代词指代
2026年安徽公考备考:11-04每日一练:判断推理之论证缺陷
2026年安徽公考备考:11-04每日一练:资料分析之减少率计算
2026年安徽公考备考:11-04每日一练:判断推理之光学
2026年安徽公考备考:11-04每日一练:判断推理之平面拼合